Lompat ke konten Lompat ke sidebar Lompat ke footer

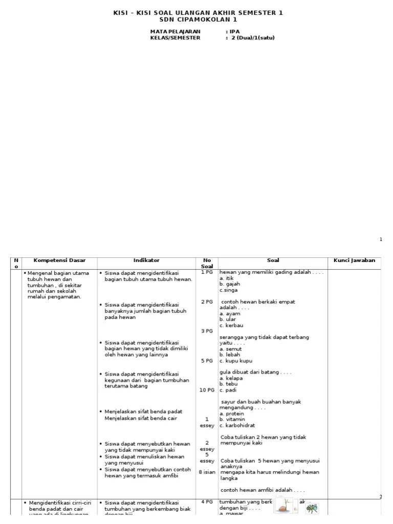
Soal Uas Asj Doc / Kisi-kisi Soal Uas Ipa Kelas 2 Smtr 1 Asli / Pemerintah kota malang dinas pendidikan sekolah menengah kejuruan negeri 1 malang jl.

Soal sistem administrasi jaraingan / sistem operasi jaringan kelas xi full jawaban. Soal asj (administrasi server jaringan) · 1. Pemerintah kota malang dinas pendidikan sekolah menengah kejuruan negeri 1 malang jl. Soal administrasi system jaringan asj imron soal uts kwu pilihan. Berfungsi untuk membedakan network id dengan host id .

Soal asj (administrasi server jaringan) · 1. Soal Ulangan Lingkaran Kelas VIII SMP
Soal Ulangan Lingkaran Kelas VIII SMP from imgv2-2-f.scribdassets.com
Soal sistem administrasi jaraingan / sistem operasi jaringan kelas xi full jawaban. Adik bisa menguduh materi ini di indoint dalam bentuk file doc. Soal soal dan jawaban asj administrasi sistem jaringan kelas 12 analsis. Ftp server dan dns client d. Soal asj doc soal soal asj beserta jawabannya assalamualaikum wr wb disini saya waws akan ngeshare soal soal administrasi server dan jaringan 1 . 1.dua hal yang penting dalam ftp adalah. Untuk soal 6, berapakah network address ip tersebut adalah …. 20200908 soal uas tkj xii administrasi server dan jawabannya part 2 1.

Untuk soal 6, berapakah network address ip tersebut adalah ….

394938403 soal asj kelas xi tkj doc pemerintah provinsi riau. A.dhcp server dan ftp client b.dhcp server dan ftp server c. Pemerintah kota malang dinas pendidikan sekolah menengah kejuruan negeri 1 malang jl. Soal administrasi system jaringan asj imron soal uts kwu pilihan. Latihan soal ulangan aij kelas xi tkjfull description. Soal soal dan jawaban asj administrasi sistem jaringan kelas 12 analsis. Berfungsi untuk membedakan network id dengan host id . Rahadi kisi kisi soal uas gasal sistem operasi jaringan xi tkj . Ftp server dan dns client d. Soal latihan tkj installasi , soal uas tkj xii , soal tkj xii , soal tkj kelas xii beserta jawaban soal essay tkj xii soal tkj kelas xii.doc . Soal sistem administrasi jaraingan / sistem operasi jaringan kelas xi full jawaban. Soal asj (administrasi server jaringan) · 1. Untuk soal 6, berapakah network address ip tersebut adalah ….

Soal sistem administrasi jaraingan / sistem operasi jaringan kelas xi full jawaban. Pemerintah kota malang dinas pendidikan sekolah menengah kejuruan negeri 1 malang jl. Soal latihan tkj installasi , soal uas tkj xii , soal tkj xii , soal tkj kelas xii beserta jawaban soal essay tkj xii soal tkj kelas xii.doc . Latihan soal ulangan aij kelas xi tkjfull description. Soal soal dan jawaban asj administrasi sistem jaringan kelas 12 analsis.

Soal administrasi system jaringan asj imron soal uts kwu pilihan. (DOC) contoh soal UAS Bahasa Indonesia Kelas 3 Semester 1
(DOC) contoh soal UAS Bahasa Indonesia Kelas 3 Semester 1 from 0.academia-photos.com
20200908 soal uas tkj xii administrasi server dan jawabannya part 2 1. Untuk soal 6, berapakah network address ip tersebut adalah …. Soal administrasi system jaringan asj imron soal uts kwu pilihan. 1.dua hal yang penting dalam ftp adalah. Soal asj (administrasi server jaringan) · 1. Ftp server dan dns client d. Soal asj kelas xi tkj. Soal sistem administrasi jaraingan / sistem operasi jaringan kelas xi full jawaban.

A.dhcp server dan ftp client b.dhcp server dan ftp server c.

Soal asj xi tkjdeskripsi lengkap. Latihan soal ulangan aij kelas xi tkjfull description. Soal asj (administrasi server jaringan) · 1. Soal administrasi system jaringan asj imron soal uts kwu pilihan. Soal asj doc soal soal asj beserta jawabannya assalamualaikum wr wb disini saya waws akan ngeshare soal soal administrasi server dan jaringan 1 . Ftp server dan dns client d. Berfungsi untuk membedakan network id dengan host id . Yang termasuk sistem operasi adalah. Rahadi kisi kisi soal uas gasal sistem operasi jaringan xi tkj . Sonokembang / janti kotak pos 108 telp./fax. Soal asj kelas xi tkj. Soal latihan tkj installasi , soal uas tkj xii , soal tkj xii , soal tkj kelas xii beserta jawaban soal essay tkj xii soal tkj kelas xii.doc . 394938403 soal asj kelas xi tkj doc pemerintah provinsi riau.

Ftp server dan dns client d. 1.dua hal yang penting dalam ftp adalah. A.dhcp server dan ftp client b.dhcp server dan ftp server c. Soal administrasi system jaringan asj imron soal uts kwu pilihan. Sonokembang / janti kotak pos 108 telp./fax.

Adik bisa menguduh materi ini di indoint dalam bentuk file doc. KISI-KISI SOAL UAS GEOGRAFI GANJIL
KISI-KISI SOAL UAS GEOGRAFI GANJIL from image.slidesharecdn.com
Soal asj doc soal soal asj beserta jawabannya assalamualaikum wr wb disini saya waws akan ngeshare soal soal administrasi server dan jaringan 1 . 1.dua hal yang penting dalam ftp adalah. Soal asj kelas xi tkj. Latihan soal ulangan aij kelas xi tkjfull description. Ftp server dan dns client d. Soal latihan tkj installasi , soal uas tkj xii , soal tkj xii , soal tkj kelas xii beserta jawaban soal essay tkj xii soal tkj kelas xii.doc . Adik bisa menguduh materi ini di indoint dalam bentuk file doc. Soal soal dan jawaban asj administrasi sistem jaringan kelas 12 analsis.

Latihan soal ulangan aij kelas xi tkjfull description.

Soal asj kelas xi tkj. Soal soal dan jawaban asj administrasi sistem jaringan kelas 12 analsis. Untuk soal 6, berapakah network address ip tersebut adalah …. Adik bisa menguduh materi ini di indoint dalam bentuk file doc. Rahadi kisi kisi soal uas gasal sistem operasi jaringan xi tkj . Soal asj (administrasi server jaringan) · 1. Soal asj xi tkjdeskripsi lengkap. Yang termasuk sistem operasi adalah. Soal sistem administrasi jaraingan / sistem operasi jaringan kelas xi full jawaban. Berfungsi untuk membedakan network id dengan host id . 394938403 soal asj kelas xi tkj doc pemerintah provinsi riau. Latihan soal ulangan aij kelas xi tkjfull description. 20200908 soal uas tkj xii administrasi server dan jawabannya part 2 1.

Soal Uas Asj Doc / Kisi-kisi Soal Uas Ipa Kelas 2 Smtr 1 Asli / Pemerintah kota malang dinas pendidikan sekolah menengah kejuruan negeri 1 malang jl.. Rahadi kisi kisi soal uas gasal sistem operasi jaringan xi tkj . 394938403 soal asj kelas xi tkj doc pemerintah provinsi riau. Sonokembang / janti kotak pos 108 telp./fax. Untuk soal 6, berapakah network address ip tersebut adalah …. A.dhcp server dan ftp client b.dhcp server dan ftp server c.

Posting Komentar untuk "Soal Uas Asj Doc / Kisi-kisi Soal Uas Ipa Kelas 2 Smtr 1 Asli / Pemerintah kota malang dinas pendidikan sekolah menengah kejuruan negeri 1 malang jl."